New #openaccess publication #SciPost #Physics Core
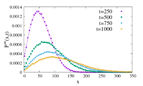
Quantum adiabaticity in many-body systems and almost-orthogonality in complementary subspace
Jyong-Hao Chen, Vadim Cheianov
SciPost Phys. Core 8, 084 (2025)
https://scipost.org/SciPostPhysCore.8.4.084
New #openaccess publication #SciPost #Physics Core
Exact solution for two $\delta$-interacting bosons on a ring in the presence of a δ-barrier: Asymmetric Bethe Ansatz for spatially odd states
Maxim Olshanii, Mathias Albert, Gianni Aupetit-Diallo, Patrizia Vignolo, Steven G. Jackson
SciPost Phys. Core 8, 083 (2025)
https://scipost.org/SciPostPhysCore.8.4.083
#MassachusettsBostonUniversity #CNRS #IUF #UCA #INPHYNI #SISSA
New #openaccess publication #SciPost #Physics Core
Spin-orbit photonics in a fixed cavity: Harnessing Bogoliubov modes of a Bose-Einstein condensate
Ghaisud Din, Muqaddar Abbas, Pei Zhang
SciPost Phys. Core 8, 082 (2025)
https://scipost.org/SciPostPhysCore.8.4.082
New #openaccess publication #SciPost #Physics
Three dimensional topological field theories and Nahm sum formulas
Dongmin Gang, Heeyeon Kim, Byoungyoon Park, Spencer Stubbs
SciPost Phys. 19, 128 (2025)
https://scipost.org/SciPostPhys.19.5.128
New #openaccess publication #SciPost #Physics
Testing Kubo formula on a nonlinear quantum conductor driven far from equilibrium, via power exchanges
Zubair Iftikhar, Jonas Müller, Yuri Mukharsky, Philippe Joyez, Patrice Roche, Carles Altimiras
SciPost Phys. 19, 127 (2025)
https://scipost.org/SciPostPhys.19.5.127
#CEASaclay #CNRS #ParisSaclayUniversity
#AgenciaEstatalInvestigación
New #openaccess publication #SciPost #Physics
Non-invertible symmetries of two-dimensional non-linear sigma models
Guillermo Arias-Tamargo, Chris Hull, Maxwell L. Velásquez Cotini Hutt
SciPost Phys. 19, 126 (2025)
https://scipost.org/SciPostPhys.19.5.126
New #openaccess publication #SciPost #Physics
Characterizing the hadronization of parton showers using the HOMER method
Benoît Assi, Christian Bierlich, Philip Ilten, Tony Menzo, Stephen Mrenna, Manuel Szewc, Michael K. Wilkinson, Ahmed Youssef, Jure Zupan
SciPost Phys. 19, 125 (2025)
https://scipost.org/SciPostPhys.19.5.125
New #openaccess publication #SciPost #Physics
Bootstrapping nonequilibrium stochastic processes
Minjae Cho
SciPost Phys. 19, 124 (2025)
https://scipost.org/SciPostPhys.19.5.124
New #openaccess publication #SciPost #Physics
Interpolating amplitudes
Víctor Bresó-Pla, Gudrun Heinrich, Vitaly Magerya, Anton Olsson
SciPost Phys. 19, 123 (2025)
https://scipost.org/SciPostPhys.19.5.123
New #openaccess publication #SciPost #Physics Core
A graph-theoretic approach to chaos and complexity in quantum systems
Maxwell West, Neil Dowling, Angus Southwell, Martin Sevior, Muhammad Usman, Kavan Modi, Thomas Quella
SciPost Phys. Core 8, 081 (2025)
https://scipost.org/SciPostPhysCore.8.4.081
New #openaccess publication #SciPost #Physics Core
Numerical study of disordered noninteracting chains coupled to a local Lindblad bath
Viktor Berger, Andrea Nava, Jens Hjorleifur Bardarson, Claudia Artiaco
SciPost Phys. Core 8, 080 (2025)
https://scipost.org/SciPostPhysCore.8.4.080
New #openaccess publication #SciPost #Physics Core
Learning selection cuts with gradients
Mike Hance, Juan Robles
SciPost Phys. Core 8, 079 (2025)
https://scipost.org/SciPostPhysCore.8.4.079
New #openaccess publication #SciPost #Physics
Geometric expansion of fluctuations and average shadows
Clément Berthière, Benoit Estienne, Jean-Marie Stéphan, William Witczak-Krempa
SciPost Phys. 19, 122 (2025)
https://scipost.org/SciPostPhys.19.5.122
#LPT #CNRS #ToulouseUniversity @sorbonne_univ_ #LPTHE #UCBL #ENSL #MontrealUniversity #CRM
#CNC #CourtoisFoundation
New #openaccess publication #SciPost #Physics
Automated evaluation of imaginary time strong coupling diagrams by sum-of-exponentials hybridization fitting
Zhen Huang, Denis Golež, Hugo U. R. Strand, Jason Kaye
SciPost Phys. 19, 121 (2025)
https://scipost.org/SciPostPhys.19.5.121
New #openaccess publication #SciPost #Physics
Quantum chaos in PT symmetric quantum systems
Kshitij Sharma, Himanshu Sahu, Subroto Mukerjee
SciPost Phys. 19, 120 (2025)
https://scipost.org/SciPostPhys.19.5.120
New #openaccess publication #SciPost #Physics Core
Magic phase transition and non-local complexity in generalized W State
Alberto Giuseppe Catalano, Jovan Odavić, Gianpaolo Torre, Alioscia Hamma, Fabio Franchini, Salvatore Marco Giampaolo
SciPost Phys. Core 8, 078 (2025)
https://scipost.org/SciPostPhysCore.8.4.078
#StrasbourgUniversity #RBI #GGI #UniversityNaplesFederico2 #INFNNapoli
#HORIZONEUROPEMarieSklodowskaCurieActions #MUR
New #openaccess publication #SciPost #Physics
Rényi entropies for one-dimensional quantum systems with mixed boundary conditions
Benoit Estienne, Yacine Ikhlef, Andrei Rotaru
SciPost Phys. 19, 119 (2025)
https://scipost.org/SciPostPhys.19.5.119
New #openaccess publication #SciPost #Physics
Higgs production via vector-boson fusion at the LHC
Gaetano Barone et al.
SciPost Phys. Comm. Rep. 13 (2025)
https://scipost.org/SciPostPhysCommRep.13
# #SFU #UCSD #CERN #NEU #Fermilab @unituebingen #RWTH #FreiburgUniversity #GAU #UNIMI #INFNMilano
#HORIZONEUROPEMarieSklodowskaCurieActions #NextGenerationEU
New #openaccess publication #SciPost #Physics #Codebases
calcQPI: A versatile tool to simulate quasiparticle interference
Peter Wahl, Luke C. Rhodes, Carolina A. Marques
Paper:
SciPost Phys. Codebases 61 (2025)
https://scipost.org/SciPostPhysCodeb.61
calcQPI-v1.0:
SciPost Phys. Codebases 61-r1.0 (2025)
https://scipost.org/SciPostPhysCodeb.61-r1.0
#BonnUniversity #StAndrewsUniversity
#RoyalCommissionExhibition1851 #EdinburghUniversity
New #openaccess publication #SciPost #Physics
Engineering of anyons on M5-probes via flux quantization
Hisham Sati, Urs Schreiber
SciPost Phys. Lect. Notes 107 (2025)
https://scipost.org/SciPostPhysLectNotes.107
We are the community behind #SciPost's #physics journals
- SciPost Physics https://scipost.org/SciPostPhys
- SciPost Physics Core https://scipost.org/SciPostPhysCore
- SciPost Physics Lecture Notes https://scipost.org/SciPostPhysLectNotes
- SciPost Physics Proceedings https://scipost.org/SciPostPhysProc
- SciPost Physics Codebases https://scipost.org/SciPostPhysCodeb
- SciPost Physics Community Reports https://scipost.org/SciPostPhysCommRep